Inductive Miner
一、文章速览
1.论文信息
题目-作者-时间-出版社-引用
Leemans, S.J., Fahland, D., & Aalst, W.M. (2013). Discovering Block-Structured Process Models from Event Logs - A Constructive Approach. Petri Nets.
2.背景
现有的流程发现技术不能同时保证可靠性、适应性、重新发现能力和有限的运行时间。
3.方法
提供了一个可扩展的框架,可以从任何给定的日志中发现一组可靠的、符合所观察到的行为的块结构流程模型。采用***分而治之***的方法,根据切将日志分割,得到的n个子日志的n个子过程。
4.概述
B '的工作原理是将日志中的活动划分为多个集合,然后在这些集合上分割日志。selectB '粘附于B,这保证了对任何输入日志的可靠性、适应度和框架的终止性。
-
基于流程树,具有正确性和健壮性
-
为了使框架更具可扩展性,使用了一个待给定的首选项功能select来选择首选的日志划分。
-
此外,还描述了在日志中重新发现一个特殊过程模型所需的最小信息。
-
然后我们提供一个多项式时间算法从任何给定的日志发现一个合理,拟合,块结构的模型。
-
返回一个等效于日志的流程模型的语言模型,包括不可见的行为。
5.未来工作
可以删除第6.4节的模型限制2,它要求考虑到长度为2的循环,且满足更强完整性要求的情况下,循环运算符最左边分支的开始和结束活动集必须是不相交的。
此外,在日志上使用另一个增强的完备性假设,可能不需要no-τ限制。
我们计划进行一项经验研究,以将B’算法与现有技术进行比较。可以在构建直接跟随图前。通过过滤直接跟随关系来处理日志中的噪声行为。
二、算法描述(重点在第3小节)
1.基础知识
-
block-structured workflow net: 块结构的工作流网络是一种分层的工作流网络,可以将其递归分为具有单个入口和出口点的部分。
-
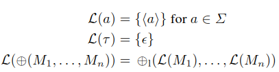
process trees:流程树是块结构工作流网的紧凑抽象表示。叶子表示活动,而所有其他节点表示运算符。 流程树描述一种语言,操作员描述其子树的语言将如何组合。
-
流程树M的递归式定义:
τ是沉默活动(silent activity)。操作符包括’x,→,∧,循环’。循环符打不出,用@代替
-
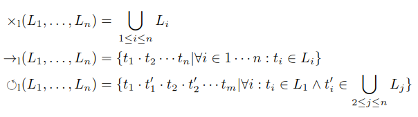
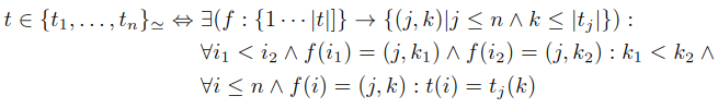
流程树M的语言L(M):
-
操作符的语言连接函数(language join function):
-
’x,→,@'
-
’∧’
其中,{t1, · · · , tn}≃表示迹t1到tn是交叉序;f是一个双射函数,将t的每个事件映射到ti中的一个事件,并且t(i)是t的第i个元素。例如<a, c, d, b> ∈ {<a, b>, <c, d>}≃。
-
-
2.算法框架B
给定一组日志的过程树运算符,我们定义一个框架B以使用分而治之的方法发现一组过程模型。
(1)给定一个日志L,B搜索将L拆分成较小的日志L1···Ln,这些子日志与运算符combined结合可以再次产生L。(2)然后,它对找到的划分进行递归并返回找到的模型的笛卡尔积。当L不能再分时,递归结束。
**select:**输入日志,返回一组首选的日志划分。
定义1: (存疑)
3.算法实现B’
算法B ',它是框架B的细化,B '避免构造完整的集合P。B '的中心思想是直接根据日志中活动的顺序来计算一个日志划分,在G(L)(直接跟随图directly-follows graph)结构中找到指示“支配”操作符的行为。
-
日志L = {<a, b, c>, <a, c, b>, <a, d, e>, <a, d, e, f, d, e>}的直接流图:
- **排他选择切(exclusive choice cut):**每个Σi都有一个开始节点和结束节点,Σi≠Σj之间没有边,如图3所示(左)。
- **序列切(sequence cut):**集Σ1···Σn是有序的,任何两个节点a∈Σi,b∈Σj,i< j,都有一个沿G (L)的边的从a到b的路径,但反之不成立,参见图3(上)。
- **并行切(parallel cut):**每个Σi都有一个开始节点和结束节点,Σi、Σj中任取两个元素之间都是互相连接,图3(下)。
- 循环切(loop cut):在循环切割中,Σ1具有G(L)的所有起点和所有终点,不同Σi、Σj的节点之间没有边;Σ1和Σi(其中i>1)之间的边要么源于Σ1的结束节点,要么终结于Σ1的开始节点,参见图3(右)。
-
切的正式定义: (上面的文字叙述更易理解)
3. 算法的具体描述
函数selectB的工作方式是构造输入日志L的直接跟随图G(L),然后,函数试图找到上述四个切中的一个。如果selectB '找到这样一个切,它将根据切对日志进行分割,并返回与切对应的日志划分。如果selectB '找不到切,它不返回日志划分,B将为L生成花型模型。
使用切的定义,selectB′将活动划分为Σ1···Σn集。直接以例子进行说明。
三、他评
下载地址:
Discovering block-structured process models from event logs - A constructive approach


